Меню
Бытовые вентиляторы
Бытовые вентиляторы
Вентиляторы накладные
Вентиляторы накладные
Промышленные вентиляторы
Промышленные вентиляторы
Канальные круглые вентиляторы
Канальные круглые вентиляторы
Накладные осевые вентиляторы
Накладные осевые вентиляторы
Радиальные вентиляторы (Улитки)
Радиальные вентиляторы (Улитки)
Вентиляция
Вентиляция
Воздуховоды гибкие
Воздуховоды гибкие
Диффузоры / Анемостаты / Колпаки
Диффузоры / Анемостаты / Колпаки
Стеклянные дизайнерские анемостаты AIRG / ДиффузоровNet
Стеклянные дизайнерские анемостаты AIRG / ДиффузоровNet
Элементы вент систем
Элементы вент систем
Сэндвич дымоходы из нержавеющей и оцинкованной стали
Сэндвич дымоходы из нержавеющей и оцинкованной стали
Решетки / Экраны
Решетки / Экраны
Люки
Люки
Люки под покраску
Люки под покраску
Полотенцесушители
Полотенцесушители
Поиск
Контакты

115230, г. Москва, Каширское шоссе 14, ТРЦ Гудзон, 1 этаж

Ежедневно с 10:00 до 18:00

Профиль
Профиль
Сравнение
Сравнение
Избранное
Избранное
Корзина
Корзина

Водяной воздухонагреватель ВОК 200/2

Артикул: ВОК200/2
Купили менее 20 раз
11 083 ₽
Экономия -11 083 ₽
Airone
В наличии
Выбрать

    1. Назначение.

     

    1.1. Канальный воздухонагреватель типа ВОК предназначен для нагревания воздуховода посредством водяного воздухонагревателя в системах вентиляции с круглыми воздуховодами.

     

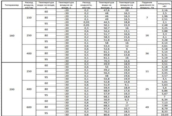
    2. Технические характеристики.

     

    2.1. Габаритные, присоединительные и установочные размеры приведены на рисунке 1. Технические параметры представлены в таблице 1.

    2.2. ВОК предназначен для использования в условиях умеренного климата и 3-ей категории размещения по ГОСТ 15150-69.

    2.3. Присоединение трубопроводов к патрубкам выполняется посредством резьбового соединения.

    2.4. Максимальное рабочее давление теплоносителя составляет 1,6 МПа.


    2.5. Максимальная температура теплоносителя составляет 180 ˚С.

     

    3. Комплект поставки.

     


    3.1. В комплект поставки входит Канальный воздухонагреватель ВОК и паспорт к воздухонагревателю.

     

    4. Указания по мерам безопасности.

     

    4.1. При соединении входного и выходного патрубков теплообменника к сети соблюдать особую осторожность.

    4.2. В процессе монтажа ЗАПРЕЩАЕТСЯ подгибать и деформировать патрубки.

    4.3. Теплообменник предназначен только для строго вертикального расположения при эксплуатации.

    4.2. При эксплуатации клапана должны быть обеспечены требования «Правил техники безопасности при эксплуатации электроустановок потребителей»

    4.3. Клапан с электроприводом должен быть защищен от прямого воздействия высокочастотных полей, взрывоопасных и пожароопасных паров и газов.

       4.4 Не допустимо прямое попадание брызг воды. Защита IP-54. 

     

    5. Указания по ремонту и эксплуатации.
    5
    .1. Не реже одного раза в год производить профилактические работы, которые включают:

    ·       Очистку пластин теплообменника от пыли сжатым воздухом или струей воды под давлением не более 3 МПа и температурой не более 90о С.

    ·       Промывку трубной системы теплообменника рекомендуется производить кислотным раствором «Комплексон», «Трилон-Б» или их аналогами

    ·                После промывки провести опрессовку теплообменника водой под рабочим давлением, выявленные при этом дефекты устранить.

    5.2. Основными неисправностями теплообменников являются нарушения герметичности в паяных швах и разрушение трубок в результате размораживания.

    5.3. Неплотности в местах соединения медной трубки и стального коллектора запаивать припоем П21 ТУ 48-21-843-87,  используя в качестве флюса буру В18 ГОСТ 8429. Разорванные калачи, трещины и свищи в медных трубках запаивать припоем ПМФОЦр 6-4-0,03 ТУ 48-21-603-89. Температура плавления припоев 650-900 о С.

    Производитель:
    Airone
    Диаметр:
    200
    Страна производства:
    Россия
    Размеры, мм:
    580х290х320

    Доставка курьерской службой по Москве и МО

    Доставка курьером осуществляется по Москве в пределах МКАД — 300 рублей. 

    ВНИМАНИЕ!  Выезд курьера для возврата или обмена не предусмотрен! 

    Доставка осуществляется с 9-00 до 18-00.

    Доставка курьером к определенному времени НЕ осуществляется!!!

     В случае, если курьер не сможет до Вас дозвониться, доставка переноситься на следующий день. (Приблизительно за 1 час перед доставкой курьер звонит на указанный Вами телефон.)

    Доставка курьером в пределах МКАД при сумме заказа до 5 000 руб - 300 руб.

    При сумме заказа свыше 5 000 руб (на крупногабарит не распространяется) - бесплатно (в пределах МКАД)

    Доставка крупногабаритного груза по Москве в пределах МКАД ( правило суммы заказа (5000) на крупногабаритную доставку не распространяется)  - 600 руб

    Доставка крупногабаритного груза по МО за МКАД ( правило суммы заказа (5000) на крупногабаритную доставку не распространяется)  - 600 руб + тарифы доставки за МКАД

    Стоимость доставки за пределы МКАД удаленность до 20 км -  + 40 руб./км.  

    Стоимость доставки за пределы МКАД удаленность более 20 км -  + 80 руб./км.  начиная с 1 км за МКАД

    Доставка, осуществляется по адресу, указанному при оформлении заказа. Если необходимо доставить товар по иному адресу, необходимо сообщить адрес менеджеру Службы доставки, который свяжется с Вами непосредственно после оформления заказа на сайте. 

    Доставка осуществляется до подъезда/пандуса.

    Доставка в регионы России транспортными компаниями

    СДЭК, Деловые Линии, Байкал-Сервис, Почта России.   

    Доставка осуществляется до филиала транспортной компании в г. Москва при сумме заказа до 2 000 руб - 300 руб.

    Междугородняя доставка осуществляется только по 100% предоплате и по умолчанию оформляется до города получателя, без адресной доставки (если это не оговорено предварительно).

    Услуги перевозчика оплачиваются покупателем при получении груза.

    Отправка легко повреждаемых грузов (люки под плитку/покраску, вентиляционные трубы, вентиляторы, полотенцесушители, водяные баки и прочее оборудование) осуществляется строго в жесткой обрешетке/упаковке, дабы исключить повреждение груза/товара габаритами/длинною до 1,2 метра, если более 1,2 метра, то жесткая упаковка строго по требованию заказчика. Если жесткая упаковка не требуется, то клиент должен уведомлять Интернет магазин заранее, до факта отгрузки в ТК.

    За работу транспортных компаний наш Интернет-магазин ответственности не несет!

    Внимание! Просим Вас помнить, что все технические параметры и потребительские свойства приобретаемого товара Вам следует уточнять у нашего менеджера до момента покупки товара. В обязанности работников Службы доставки не входит осуществление консультаций и комментариев относительно потребительских свойств товара. При доставке Вам заказанного товара проверяйте комплектность доставленного товара, работоспособность товара, соответствие доставленного товара описанию на нашем сайте, также проверьте товар на наличие механических повреждений. При не заявлении Вами при получении товара претензий по поводу механических повреждений, в дальнейшем подобные претензии не рассматриваются. В случае вопросов, пожеланий и претензий обращайтесь к нам по следующим координатам:

    Служба доставки: +7 (495) 763-54-99
    Электронная почта: 7635499@mail.ru

    1. Наличными
    Вы оплачиваете заказ наличными при самовывозе товара в нашем розничном магазине, либо курьеру при получении заказа (в г. Москва и ближайшем Подмосковье)

    2. Оплата происходит через ПАО СБЕРБАНК с использованием Банковских карт следующих платежных систем:
    - МИР | mir_1_.png
    - VISA International | 
    - Mastercard Worldwide | 

    Возврат средств осуществляется в порядке, предусмотренным договором.

    2. По безналичному расчету для юридических/физических лиц.
    Вы оформляете заказ на нашем сайте, либо присылаете вашу заявку с реквизитами на нашу почту 7635499@mail.ru. Вам на электронную почту высылается Счет на оплату.  После оплаты рекомендуется сообщить нам о проведенном платеже - это ускорит сборку вашего заказа.
    Внимание! Выставленный счет действителен в течении 3-х банковских дней.

    Банковские реквизиты: 

    ИП Левшин Кирилл Владимирович
    ИНН: 772565013490
    ОГРНИП: 305770000254334

    Для оплаты (ввода реквизитов Вашей карты) Вы будете перенаправлены на платежный шлюз ПАО СБЕРБАНК. Соединение с платежным шлюзом и передача информации осуществляется в защищенном режиме с использованием протокола шифрования SSL. В случае если Ваш банк поддерживает технологию безопасного проведения интернет-платежей Verified By Visa или MasterCard SecureCode для проведения платежа также может потребоваться ввод специального пароля. Настоящий сайт поддерживает 256-битное шифрование. Конфиденциальность сообщаемой персональной информации обеспечивается ПАО СБЕРБАНК. Введенная информация не будет предоставлена третьим лицам за исключением случаев, предусмотренных законодательством РФ. Проведение платежей по банковским картам осуществляется в строгом соответствии с требованиями платежных систем МИР, Visa Int. и MasterCard Europe Sprl.

    Похожие товары
    767 ₽
    ПЛ20-0,55 Перфолента 25м 20*0.55мм
    шт
    264 ₽ 400 ₽
    Труба ПНД 132х2,5 0,5м
    шт